Analysis of the Relationship Between Capacitance Variation and Probe Diameter in RF Admittance Rod Probes
RF Admittance Level Switches (also referred to as RF Capacitance / RF Admittance Level Switches) are important instruments for industrial level measurement. Their operating principle is based on changes in capacitance. RF admittance rod probes determine the material level by measuring the capacitance variation between the probe and the vessel wall, enabling reliable level detection.
Although this measurement method has been widely applied and proven mature in industrial environments, the influence of probe diameter on instrument sensitivity remains a key concern for many engineers during selection and field commissioning. This article provides a systematic analysis of the relationship between capacitance variation and probe diameter in RF admittance rod probes, covering measurement principles, theoretical formulas, practical operating conditions, and engineering applications.
1. Measurement Principle of RF Admittance Level Switch
The core measurement principle of an RF admittance level switch is based on capacitance variation. When the probe is installed inside a vessel, the probe and the vessel wall form the two plates of a capacitor. As the process medium inside the vessel changes—such as liquid level rising or falling, or bulk solids filling—the dielectric constant between the two plates changes accordingly, resulting in a change in capacitance.
The basic capacitance formula can be expressed as:
Where:
- C is the capacitance value
- ε is the dielectric constant of the medium
- A is the effective plate area (for rod-type probes, A is related to the surface area of the probe)
- d is the distance between the two plates (related to the vessel diameter minus the probe diameter)
From this formula, it can be seen that probe diameter (d), vessel diameter (D), and dielectric constant (ε) directly affect the capacitance variation and are the key factors determining the sensitivity of the instrument.
2. Influence of Probe Diameter on Capacitance Variation
In engineering practice, two aspects are usually of primary concern:
- The relationship between capacitance variation and level height (H)
- The influence of probe diameter on measurement sensitivity
To analyze this relationship, the following assumptions are made:
Vessel diameter D = 2000 mm, dielectric constant ε = 2, with different probe diameters considered.
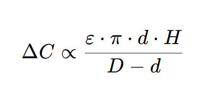
Case 1: Probe Diameter d = 10 mm

When the probe diameter is 10 mm, the relationship between capacitance variation ΔC and level height H can be approximately expressed by the corresponding capacitance formula.
Under this condition, as the level rises, the capacitance value increases in an approximately linear manner. Due to the larger probe diameter and increased surface area, the resulting capacitance variation is more significant, leading to higher measurement sensitivity.
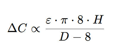
Case 2: Probe Diameter d = 8 mm

When the probe diameter is reduced to 8 mm, the relationship between ΔC and H follows a similar trend. However, because the effective plate area is smaller, the capacitance variation is reduced and the sensitivity decreases accordingly.
By comparison, it is evident that a larger probe diameter results in a more pronounced capacitance change and therefore higher instrument sensitivity. In practical engineering applications, if higher sensitivity to level variation is required, a larger probe diameter should be selected whenever installation conditions permit, while ensuring proper matching with the vessel diameter.
3. Engineering Analysis of Capacitance Sensitivity

Based on the above theoretical analysis, several key conclusions can be drawn:
Probe diameter (d) is positively correlated with sensitivity
A larger probe diameter increases the probe surface area, resulting in greater capacitance variation and more sensitive response.
The ratio between vessel diameter (D) and probe diameter (d) significantly affects sensitivity
When the vessel diameter and probe diameter are closer in proportion, the distance between the capacitor plates is smaller, leading to higher sensitivity.
If the vessel diameter is very large while the probe diameter is small, the capacitance variation becomes limited, which may cause delayed response or difficulty in detecting small level changes.
Dielectric constant (ε) has a significant impact on sensitivity
A higher dielectric constant produces greater capacitance variation and a more responsive measurement signal.
For media with low dielectric constants, such as certain liquids or powders, sensitivity can be improved by increasing the probe diameter or applying circuit compensation techniques.
In real-world applications, theoretical calculations must be combined with on-site installation conditions, medium characteristics, and additional requirements such as corrosion resistance or anti-coating design.
4. Engineering Selection Recommendations

Based on the capacitance principle of RF admittance probes and the influence of probe diameter, the following recommendations can be used as guidance during engineering selection:
High-sensitivity applications
- Select probes with larger diameters
- Optimize the ratio between vessel diameter and probe diameter to reduce plate distance
- For low dielectric constant media, consider higher-gain circuits or high-sensitivity probe designs
Space-limited installations
- When probe diameter is restricted, use high-precision detection circuits to compensate for reduced sensitivity
- Optimize probe installation position and avoid excessive proximity to vessel walls to minimize interference
Multi-phase or mixed media applications
- For slurries, muds, or aerated liquids, select probes with anti-corrosion and anti-coating designs
- Add temperature or density compensation if necessary to improve measurement stability
Maintenance and service life considerations
- Larger probe diameters provide higher mechanical strength and better resistance to wear
- However, they may also increase installation complexity, which should be evaluated together with maintenance requirements
5. Conclusion
Through the analysis of the relationship between capacitance variation and probe diameter in RF admittance rod probes, the following conclusions can be drawn:
- Larger probe diameters result in higher measurement sensitivity
- Sensitivity increases as the vessel diameter and probe diameter become closer in proportion
- The dielectric constant of the medium directly affects capacitance variation and detection sensitivity
- Practical engineering applications require comprehensive consideration of space constraints, medium properties, and protective requirements
For industrial level measurement, understanding the relationship between probe diameter, capacitance variation, and level height not only helps improve measurement accuracy and response speed, but also significantly enhances instrument reliability and service life.

